北京外国语大学法学院教授 丛立先--IT
550x365 - 29KB - JPEG

北京外国语大学法学院.doc
993x1404 - 77KB - PNG

武汉海事法院院长,北京外国语大学法学院院长
1142x857 - 121KB - JPEG
![【[现货]2016年北京外国语大学法学院734知识](http://img35.ddimg.cn/87/0/1239346635-1_u_1.jpg)
【[现货]2016年北京外国语大学法学院734知识
800x800 - 131KB - JPEG

【北外附校·宪法日】北京外国语大学法学院一
1024x1186 - 87KB - JPEG

【圣才考研网 2015年北京外国语大学法学院7
800x800 - 79KB - JPEG
![[考研辅导]2017年北京外国语大学法学院932国](http://img3x5.ddimg.cn/30/9/1345904535-1_u_2.jpg)
[考研辅导]2017年北京外国语大学法学院932国
800x800 - 53KB - JPEG

北京外国语大学法学院考研复试面试安排.pdf
800x1131 - 144KB - PNG

招贤纳士 | 北京外国语大学法学院教师招聘
675x675 - 60KB - JPEG
万猛(北京外国语大学法学院院长、教授)
500x390 - 166KB - JPEG
![[考研全套]2016年北京外国语大学法学院733刑](http://img3x6.ddimg.cn/33/6/1228906536-1_u_1.jpg)
[考研全套]2016年北京外国语大学法学院733刑
800x800 - 105KB - JPEG

厉害了我的哥!北京高校法学院系实力排行榜-搜
600x396 - 31KB - JPEG

北京外国语大学法学院国际经济法习题.doc
993x1404 - 81KB - PNG

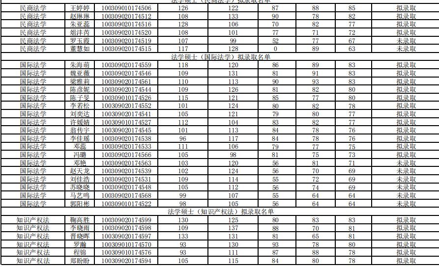
北京外国语大学2019年法学院硕士研究生拟录
864x317 - 83KB - JPEG

北京外国语大学2019年法学院硕士研究生拟录
893x544 - 142KB - JPEG