
这个数的反函数怎么求?_360问答
600x450 - 17KB - JPEG

高中数学,反函数怎么求啊?比如f(x)=3x+2的反函
600x800 - 30KB - JPEG
高一数学同步练习:反函数_高考网
566x525 - 56KB - JPEG

第一步是怎么得到反函数的啊,最好整个题解释
324x521 - 101KB - JPEG

怎样在几何画板中绘制反函数
500x331 - 102KB - PNG

如何画反函数图像_高二数学函数
550x483 - 21KB - JPEG

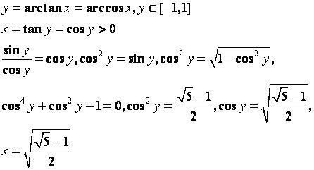
arctanx=arccosx 如何用反函数求解
446x241 - 13KB - JPEG

怎么求关于log的反函数 =6log以4为底x的对数
1024x563 - 697KB - PNG

由函数的无穷级数如何得到其反函数的无穷级数
875x313 - 63KB - JPEG

怎么求三角函数的反函数啊。
498x664 - 19KB - JPEG

怎样excel求自然对数的反函数?_360问答
591x610 - 155KB - JPEG

怎么求一个函数的反函数?_高一数学
550x483 - 24KB - JPEG

这个反函数怎么求,详细一点_360问答
600x800 - 63KB - JPEG

这题反函数怎么求_360问答
600x800 - 21KB - JPEG

sin反函数怎么求_360问答
450x800 - 19KB - JPEG