如图.斜率为1的直线过抛物线的焦点.与抛物线
204x228 - 3KB - PNG

抛物线焦点弦与五朵金花
993x1404 - 62KB - PNG

如图,过抛物线y2=4x的焦点任作一条直线交抛物
174x211 - 14KB - PNG

关于抛物线焦点弦弦长公式补充.doc
993x1404 - 93KB - PNG

过抛物线焦点垂直于对称轴的弦叫做抛物线的通
153x201 - 4KB - PNG

抛物线的焦点为()A.(0,1)B.(1,0)C.D.
231x200 - 5KB - PNG
![[很全]抛物线焦点弦的有关结论](https://www.51wendang.com/pic/0f71526ae05e4e746b07fd714c8a37dbb29705a7/1-212-jpg_6_0_______-201-0-24-201.jpg)
[很全]抛物线焦点弦的有关结论
201x212 - 4KB - JPEG

竞赛课:抛物线焦点弦性质和其它.ppt
1152x864 - 127KB - PNG

抛物线的焦点弦 经典性质及其证明过程.doc全
993x1404 - 115KB - PNG

抛物线焦点弦的性质PPT
1080x810 - 75KB - JPEG

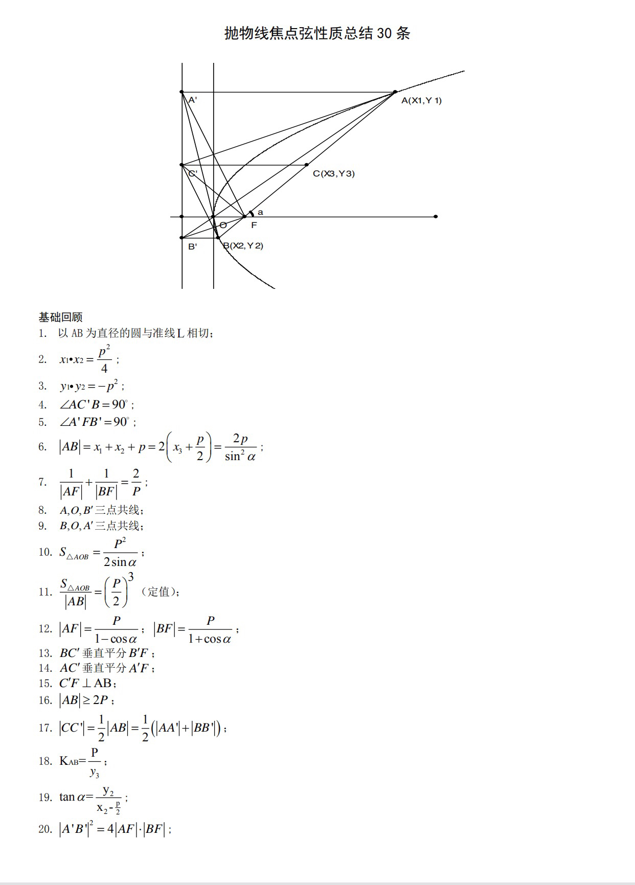
抛物线焦点弦性质总结30条
1237x1771 - 665KB - JPEG

抛物线焦点弦性质总结30条
1242x1731 - 427KB - JPEG

抛物线焦点弦三角形的几个性质
1517x2069 - 657KB - PNG

抛物线焦点弦性质总结30条
1217x482 - 167KB - JPEG

例谈几何法证明抛物线焦点弦的相关性质
1371x1956 - 874KB - PNG