
数学题 z=(2-i) i为虚数单位 复数z的模为多少
600x450 - 25KB - JPEG

设i是虚数单位,若复数a+5i\/1-2i,是纯虚数,求a--
620x410 - 27KB - JPEG

虚数 复数 非零复数 做题的时候经常看到已知 虚
730x1069 - 105KB - JPEG

欧姆社学习漫画 漫画虚数和复数.
600x449 - 61KB - JPEG

复数集.实数集,虚数集
500x321 - 15KB - JPEG

《漫画虚数和复数》((日)相知政司 ,(日)石野人
260x260 - 83KB - JPEG

怎么理解虚数和复数?
506x246 - 5KB - JPEG

漫画虚数和复数 \/(日)相知政司 著,(日)石野人衣
600x758 - 126KB - JPEG

漫画虚数和复数
389x484 - 122KB - JPEG

漫画虚数和复数
270x354 - 26KB - JPEG

《漫画虚数和复数》〔日〕相知政司_简介_书
800x800 - 116KB - JPEG

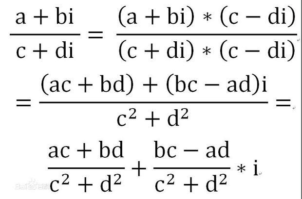
高中数学 复数虚数 分数化简过程
360x640 - 15KB - JPEG

【E漫画虚数和复数-欧姆社学习漫画\/〔日〕相
800x800 - 81KB - JPEG

漫画虚数和复数
600x400 - 24KB - JPEG

有关虚数,复数的问题,请详细一点,谢谢-
450x528 - 30KB - JPEG