费马数

费马数相关图片

关于费马数的若干性质
1461x2087 - 917KB - PNG

证明第5个费马数不是素数?
982x540 - 91KB - JPEG

数学中那些错误的猜想!欧拉猜想、费马数
480x201 - 14KB - JPEG

如何写 费马数 vb代码
320x210 - 16KB - JPEG

数学中那些错误的猜想!欧拉猜想、费马数
480x237 - 16KB - JPEG

ALEVEL\/STEP:费马数与质数(数学归纳法)
1332x581 - 85KB - JPEG

费马数
849x437 - 25KB - PNG

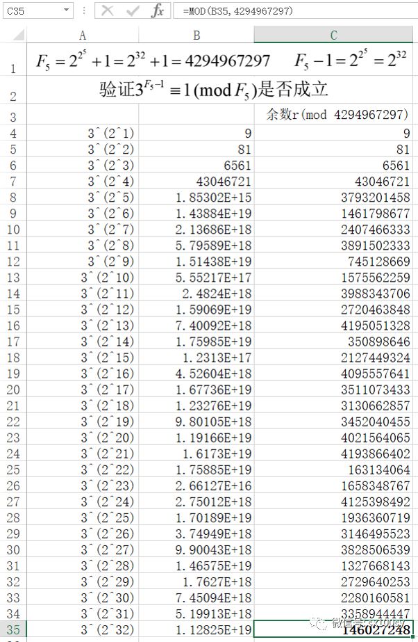
费马数
602x923 - 131KB - JPEG

数学中那些错误的猜想!欧拉猜想、费马数
526x435 - 31KB - JPEG

《关于费马数的研究数学》
261x370 - 5KB - JPEG

欧拉神作之二--用简单小工具掀翻\"费马数
476x255 - 13KB - PNG

证明(三)归纳法及数学归纳法
490x354 - 24KB - JPEG

数学中那些错误的猜想!欧拉猜想、费马数
617x469 - 94KB - JPEG

ECM分解费马数F_7和F_8
792x1076 - 79KB - GIF

《关于费马数的研究数学》
261x370 - 5KB - JPEG

费马数相关问答

暂无相关问答

大家都在看

相关专题