
ax次方的导数
450x338 - 19KB - JPEG

ax的导数是多少a为常数
500x375 - 18KB - JPEG

y ax 2的导数
500x375 - 17KB - JPEG

ae的2x方的导数是什么
365x422 - 24KB - JPEG

ax\/(x-b)的导数
526x296 - 14KB - JPEG

ax的导数是什么
600x338 - 17KB - JPEG

1\/(ax b)高阶导数
398x206 - 15KB - JPEG

证明ax的导数=axlna
960x1280 - 47KB - JPEG

ax的导数
300x200 - 5KB - JPEG

ax的导数是多少a为常数
500x667 - 31KB - JPEG

y ax b的导数
500x667 - 24KB - JPEG

(1-x)\/ ax 的导数是多少 为什么? 为什么有点
620x465 - 67KB - JPEG

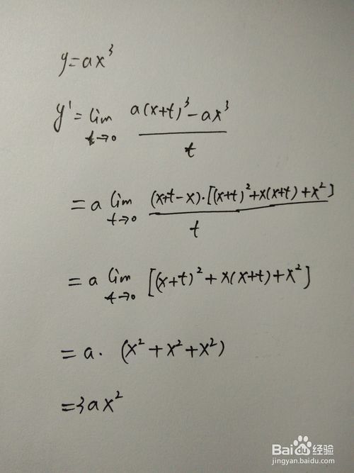
ax的导数高数推导过程
780x1052 - 66KB - JPEG

利用导数定义求函数导数的方法
500x667 - 28KB - JPEG

ax\/(x-b)的导数
768x1024 - 75KB - JPEG