
用工匠之心做渔具之都商城
776x513 - 439KB - JPEG

舍子线
220x448 - 14KB - JPEG

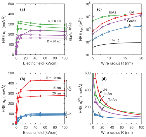
我国学者在量子线中发现强自旋-轨道耦合效应
500x467 - 114KB - JPEG

子线打结器
220x189 - 52KB - PNG

张西龙中国国家観光局驻日本代表处首席代表ら
600x370 - 98KB - JPEG

鱼线
220x220 - 6KB - JPEG

一维
282x202 - 30KB - GIF

韩村乡
220x146 - 12KB - JPEG

317国道_360百科
877x357 - 47KB - PNG

湖南大巴侧翻8人遇难40人受伤 医院血库告急
400x225 - 31KB - JPEG

四川省十一五规划与发展_3
550x668 - 172KB - JPEG
八字环绑子线新技巧,钓鱼之家论坛 前几天去朋友渔具店学了一招,虽然是攻巨物的,但是我觉得,这种大小通
受力最均衡,昨天钓鱼切了三幅子线,都是从八字环根部断我以有就是用这种方法绑主线和8字环,悲剧两次了。
八字环在垂钓的过程中起到一个连接作用,其的重要性那是相当不可小觑,如果八字环作为一个连结件,上面连着
1、先把主线的一头打一个死结,这里白色鞋带代表主线,绿色电线代表八字环。子线连接8字环的绑法:
钓鱼人都知道,8字环在钓鱼时起到很好的连接作用,因为,一、钓鱼8字环和子线的连接方法图解 绑好鱼钩的子
下面给大家图解介绍下快速可卸子线8字环连接法。它有九个优点。让我们来了解下吧!快速可卸子线8字环连接法
王超教你绑子线的方法与技巧 王超教你主线上八字环的打结方法 本期节目跟大家分享八字环的绑法,
相信很多钓友们都明白,在绑子线的时候,如果想要发挥子线优良的子线链接八字环打个八字结就行,之后拉紧。