
读下图.分析完成以下问题. (1)描述图示区域地形
440x235 - 26KB - PNG

读下图.分析完成以下问题. (1)描述图示区域地形
208x260 - 15KB - JPEG

成1~2题. 1. 有关科特迪瓦和利比亚地理特征的
312x209 - 10KB - JPEG

读材料和地图.完成下列各题.材料 尼罗河水滋润
346x205 - 9KB - PNG
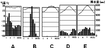
读日本地形及某年樱花开花时空分布 图.完成下
402x186 - 23KB - PNG

读我国东北地区地形分布示意图 回答问题.(1)
226x154 - 7KB - PNG
![腾凤试题库管理系统[WebTK]》(2)依据东亚沿](http://tk.lfyz.net/html/01_7/070000236_t.files/image002.jpg)
腾凤试题库管理系统[WebTK]》(2)依据东亚沿
414x284 - 24KB - JPEG

1:有关新加坡.马来西亚.泰国的地理特征描述不
270x260 - 18KB - JPEG

船厂.对外贸易发达.读图回答下列问题.(1)描述甲
251x126 - 16KB - PNG

天气与气候复习策略
484x293 - 30KB - JPEG

东亚日本、中亚、东南亚、南亚印度精编.doc
993x1404 - 209KB - PNG
读东亚部分地区图.回答下列问题. (1)C半岛地形
331x286 - 28KB - PNG

分区01《东亚》课件.ppt
1152x864 - 1007KB - PNG

东亚的地形特征:海岸线曲折.沿海多半岛和岛屿
411x153 - 9KB - JPEG

读东亚部分地区图,回答下列问题。(1)B、C两国
265x252 - 20KB - JPEG
地形种类多样,山区面积广大。(这也是我国的地形特点) 多高原山地,平原、丘陵集中在沿海,地势西高东低。
东亚位于亚洲东部,太平洋西侧,主要包括中国,蒙古,朝鲜,韩国,日本5个国家。地形地势为西高东低。有典型的季风气候,雨热同期。渔业资源丰富,多天然良港,利于渔业和对外经济的发展。水力资源丰富。东亚大陆边缘,地质条件复杂,多山,且多火山、地震。夏秋季节常受台风侵袭。东部临海,海岸线曲折,多岛屿和半岛。地形多平原、丘陵。西部远离海洋,地形多高原、山地。大河多自西向东,流入太平洋,主要有长江、黄河、鸭绿江、图们江等。自然资源丰富,以有色金属为最多,矿物资源以煤、铁、石油、铜、锑、钨、钼、金、菱镁矿、石墨等最丰富。东亚是世界上人口分布最多的地区之一,居民以黄色人种为主。沿海和内陆经济差异大,沿海是水稻、茶叶、蚕丝主要产区,工业较发达,西部畜牧业发达。所产稻谷占世界稻谷总产量40%以上,茶叶占世界总产量25%以上,大豆占20%。棉花、花生、玉米、甘蔗、芝麻、油菜籽、蚕丝等的产量在世界上占重要地位。
我来帮你简单归纳一下吧. 东亚首先是它是世界上季风气候最典型的地区,其特点是夏季炎热多雨,冬季温和湿润(我国北方冬季寒冷干燥),形成原因是由于东亚位于世界上最大的大陆东部,面临世界上最大的大洋,海陆热力差异很大,从而形成典型的季风气候. 其次,东亚西部地处亚欧大陆内部,距离海洋遥远,海洋水汽难以到达,从而形成降水较少,年较差大的温带大陆性气候,并且这一气候区由于东西部距离海洋的远近差异很大,从而东西部气候差异也是十分明显. 最后,东亚地区由于地形复杂,地势起伏较大,以"世界屋脊"青藏高原最为突出,形成了独特的高原高山气候.
简介:东亚,亚洲东部的简称,包括中国、日本、韩国、朝鲜和蒙古共五个国家。东亚面向太平洋,地势西高东低,典
东部:临海,海岸线曲折,多岛屿和半岛;地形:多平原、丘陵 西部:远离海洋;地形:多高原、山地 这种东西地形的差异导致了地势西高东低,大河多自西向东,流入太平洋。
(1)描述图示区域地形地势特征并说明图中河流③(湄公河)北部流域面积狭小的原因。 _ (4)第四届东亚峰会2009年10月25日在泰国华欣举行。本届峰会承认加强地区连通的重
2.通过指导学生使用地图,分析东南亚的重要地理位置,地形、气候特点,提高学生的读图 复习提问我们在学习东亚区域地理时,是从哪几个方面认识东亚的?(范围、地理位置、居
东 亚 1 hhp0926000上传于2011-04-13|质量:5.0分|1070|178|文档简介|举报 手机打开 第 一 轮 复 习 试读已经结束,如果需要继续阅读或下载,敬请购买 ¥0元 购买 大小:4.64MB
东 亚 、 东 南 亚 练 习 haiyard上传于2012-02-25 (高于99%的文档) 一、 读东北亚部分 .日本农民老龄化特征明显的原因有哪些?( 8 分) 3 .农民老龄化给日本农业发展带来的影
●能够在地图上指出东亚的主要国家、 首都、 地形区、 河 流、湖泊。 ●能够运用气候因素分析日本气候南北差异的原因。 ●能分析日本工业的发展条件,工业分布特点的原因