利用回归分析法预测销售额的案例利用回归分析法预测销售额的案例假定索尼电器公司年摄像机的实际销售额资料详见表。要求为索尼公司预测年摄像机的销售额。
回归分析法回归分析预测法案例全部内容了,希望大家看完有所启发,对自己的工作生活有所帮助,想要了解更多跟什么是回归分析法回归分析预测法案例请关注我们文章营销官网
该公司的销售额随时间的变化呈现出曲线变化,因此用二次曲线来拟合。用Excel软件求解如下: 1.打开工作簿“财务预测”,创建新工作表“回归分析法”。. 下载文档 利用回归
对主营业务收入入账所依据的销售发票的号码需要进行连续性检查,需要检查销售发票信息。() 继续查找其他问题的答案? 请先输入下方的验证码查看最佳答案 图形验证: 换一
要求为索尼公司预测年摄像机的销售额。表索尼电器公司年摄像机的实际销售额分析:根据表中数据,利用回归分析法预测销售额的案例。利用回归分析法预测销售额的案例表格
利用回归分析法预测销售额的案例,回归分析法案例,回归分析法销售预测,回归分析法预测,回归分析法预测总成本,回归分析法负荷预测,回归分析法,层次分析法案例,案例分析法
利用回归分析法预测销售额的案例 ijessy|2011-11-25 |举报 共享文档 共享文档是百度文库用户免费上传的可与其他用户免费共享的文档,具体共享方式由上传人自由设定。了解
以前上管理会计的时候学过好像是 回归分析预测法,是在分析市场现象自变量和因变量之间相关关系的基础上,建立变量之间的回归方程,并将回归方程作为预测模型,根据自变量在预测期的数量变化来预测因变量关系大多表现为相关关系,因此,回归分析预测法是一种重要的市场预测方法,当我们在对市场现象未来发展状况和水平进行预测时,如果能将影响市场预测对象的主要因素找到,并且能够取得其数量资料,就可以采用回归分析预测法进行预测。它是一种具体的、行之有效的、实用价值很高的常用市场预测方法。
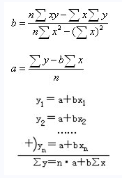
回归分析法,是按照数学上的最小二乘法来确定直线方程“7 =<1 + 6”,借助这条直线方程预测销售收人的一种方法。其中,利用回归公式能够求出直线方程中a、b值,而后写出直线方程,并利用其预测计划期的销售收入。回归分析法适用于具有明显线性关系,即各期增长量大致相等 的销售收人预测。
公式:因果预测分析法最常用的是回归分析法,本章主要介绍回归直线法。 待求出a、b后,代入y=a+bx,结合自变量x的取值,即可求出预测对象y的预测销售

利用回归分析法预测销售额的案例
630x480 - 132KB - PNG

如何使用预测分析方法提高营销效果?
600x416 - 14KB - JPEG

增值税税收收入回归预测模型研究.pdf
800x1131 - 265KB - PNG

第四章.经营预测范例.ppt
960x720 - 109KB - JPEG
数学建模:一个多元线性回归做预测的例子
560x420 - 20KB - JPEG

第三节筹资数量的财务预测.doc
794x1123 - 43KB - PNG

信息分析与预测时间序列.ppt
1152x864 - 654KB - PNG

4.1 资金需求预测(干货版).pdf
833x1179 - 162KB - PNG

2012年注会《财务成本管理》知识点总结:第3
485x204 - 51KB - PNG

第三章财务预测题稿.ppt
141x200 - 4KB - JPEG

2012《财务管理》第六章知识点:销售预测分析
175x256 - 17KB - PNG

无缝钢管市场最新销售理论
2272x1704 - 1039KB - JPEG

14-市场需求预测的回.ppt
1152x864 - 98KB - PNG

管理会计学习题四章 经营预测.doc
794x1123 - 45KB - PNG

数学建模之统计回归模型材料.doc
794x1123 - 7KB - PNG