
土木工程施工关于网络图的绘制题目
599x396 - 28KB - JPEG
在下列网络图中,若项目计划工程师将项目的完
447x238 - 11KB - JPEG

2014年一级建造师项目管理真题解析:代号网络
421x253 - 52KB - JPEG

如图.在所给网络图(每小格均为边长是1的正方
200x200 - 6KB - PNG

根据下表 绘制双代号网络图 试题答案
600x325 - 18KB - JPEG

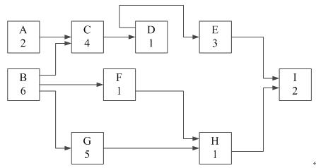
关于计算双代号网络图的题目
600x453 - 236KB - PNG

关于计算双代号网络图的题目
507x477 - 311KB - PNG
![正品[驾校考试题]驾校考试题c1评测 驾校科目四](http://img1.tbcdn.cn/tfscom/i1/TB1HpEGJpXXXXbGXpXXXXXXXXXX_!!0-item_pic.jpg)
正品[驾校考试题]驾校考试题c1评测 驾校科目四
492x688 - 121KB - JPEG
读某型飞机生产网络图.分析回答.(1)图示说明:某
425x267 - 31KB - PNG

根据下列逻辑关系表绘制的双代号网络图如下图
605x202 - 16KB - JPEG

江首批10所高校三位一体面试结束 考了啥题目
600x340 - 47KB - JPEG

读某型飞机生产网络图.分析回答.(1)图示说明:某
360x229 - 22KB - PNG

已知网络图各段路线所需费用如下图所示,图中
475x356 - 133KB - PNG

网络图 网络图 网络图 原 广州:二孩试题引争议
541x497 - 61KB - JPEG
如何画双代号网络图?学会这几招,菜鸟变大神!
640x362 - 13KB - JPEG
1 湖南省职业院校专业技能抽查考试试题 网络图绘制技能考核试题 1.题目桥台施工网络图绘制。2.完成时间 4
习 题 1、某施工由 A、B、C、D 四个2-14 中各工作之间的逻辑关系,分别绘制双代号网络图和单代号网络图。
网络图练习题 下载积分:1200 内容提示:网络图练习题 成功点赞+1 全文阅读已结束,如果
假定公司在 第一年开始时必须购买一台此设备,请建立此问题的网络图,确定销地 2024 3022 20 复习思考题20
在线互动式文档分享平台,在这里,您可以和千万网友分享自己手中的文档,全文阅读其他用户的文档,同时,也
网络图是网络计划技术的基础。任何一项任务都可分解成许多步骤的工作根据这些工作在时间上的衔接关系用
网络图练习题 yht1027|2011-05-15|暂无评价|0|0|简介|网络图 专业文档 专业文档是百度文库认证用户/
2)时标网络计划的特点是可直接在网络图上看出各项工作的开始和结束时间。(√) 3)网络计划的工期优化,
提供网络图练习题的内容摘要:第九章图与网络2219.4.请用标号法求下图所示的最短路问题,弧上数字为距离:9.5
网络图练习题文档内容摘要:项目管理网络图练习题一、双代号画图,单代号计算为保证项目的工期目标得以实现,