.jpg)
单代号网络计划的自由时差等于()。A.该工作与
413x162 - 10KB - JPEG

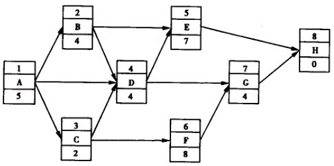
某单代号网络计划如下图所示,工作D的自由时差
486x242 - 21KB - JPEG

双代号网络图中总时差和自由时差的求解方法
500x268 - 16KB - JPEG

某分部工程的单代号网络计划如图所示(时间单
727x436 - 450KB - PNG

某单代号网络计划如右图所示,工作D的自由时差
280x176 - 11KB - JPEG

单代号网络计划中,关键线路是指( )的线路。
337x192 - 7KB - JPEG
监理工程师难点知识:单代号搭接网络计划时间
363x215 - 12KB - JPEG

如何在双代号网络图里用标号计算某一工作的总
595x450 - 76KB - JPEG

05监理工程师--建设工程质量、投资、进度控制
560x313 - 26KB - JPEG

的关键路径,分别计算工作B、工作C的总时差和
611x354 - 24KB - JPEG

当隐蔽的电缆槽道与屋内无保温层的热力管道交
475x235 - 15KB - JPEG

监理工程师复习要点:单代号关键线路_建设工程
667x305 - 72KB - JPEG

工程网络计划的计算工期等于()。A.单代号网络
361x214 - 14KB - JPEG

2009年二级建造师《建设工程施工管理》真题
469x225 - 9KB - JPEG

2017二建施工管理每日一练:单代号网络计划(1
341x171 - 8KB - JPEG
【提问】单代号网络自由时差和总时差计算有没有简便的计算方法?【回答】学员chilly803,您好!您的问题答复
展开全部(1)对于有紧后工作的工作,其自由时差等于本工作之紧后工作最早开始时间减本工作最早完成时间
在单代号搭接网络计划中,工作的自由时差等于()。请帮忙给出正确答案和分析,谢谢!
施工管理里单代号和双代号的总时差Yu 单代号网络计划,其终点节点所代表的工作 De 自由时差等于计划工期与
施工管理中的自由时差和总是差的计算 一项工作的自由时差(FF)是指在不影响紧后工作最早开始时间的前提下
单代号网络自由时差可以大于总时差?单代号网络自由时差可以大于总时差?首先弄清楚这两个概念:所谓总时差
涉及网络图的计算,双代号时标网络图自由时差和总时差的计算是经常考到的, 我在学习中工作的自由时差为
【提问】双代号网络总时差与自由图中前面工作的自由时差=5(紧后工作的最早开始时间)-3(本工作的最早完成
1、计算哪项工作的总时差,就从该工作开始,找出到终点节点的所有路径,将各路径的波形线相加的和的最小值
某承包商与工程业主签订了一份包工包料合同,工期为1年半。合同中有关结算条款规定如下: