
(银行家算法流程图代码测试用例.doc
794x1123 - 30KB - PNG

测试用例设计白皮书之场景设计方法_软件学园
1188x1395 - 110KB - JPEG

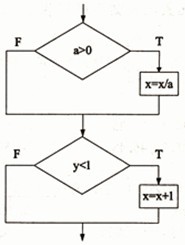
当用分支覆盖法对以下流程图进行测试时,至少
660x352 - 28KB - JPEG
![黑盒测试用例设计案例[1]_测试用例_领测软件](http://www.ltesting.net/uploads/2010/05/110593_201005181157251Ud2Q.jpg)
黑盒测试用例设计案例[1]_测试用例_领测软件
500x420 - 30KB - JPEG

经典黑盒测试(判断三角形的形状).doc
993x1404 - 198KB - PNG

APP测试流程,测试用例,计划,报告可参照解读.
141x200 - 7KB - PNG

设计一组测试用例,使该程序所有函数的语句覆
393x558 - 39KB - JPEG

程序的测试方法分为静态分析和动态分析。使用
331x380 - 8KB - JPEG
测试用例评审检查点
280x220 - 7KB - JPEG

阅读下列流程图:当用判定覆盖法进行测试时,至
300x302 - 17KB - JPEG

项目测试用例表模板
1010x563 - 51KB - JPEG

对下面流程图用白盒测试方法进行测试,要满足
465x375 - 14KB - PNG

黑盒测试用例设计案例_测试用例_领测软件测
499x418 - 37KB - JPEG

针对程序流程图,需要()个测试用例可以满足分支
476x322 - 26KB - JPEG

下图所示的流程中,最少需要 () 个测试用例就可
185x245 - 9KB - JPEG
小程序商城搭建成为当下热门话题,下面从多个方面来谈谈 微信小程序怎么测试,微信小程序测试用例。
1.2 文档范围 本文档包括了功能测试用例、性能测试用例、GUI 测试用例、URL 网页地址 网上商城测试用例
电脑商城系统测试前台测试 编号 1.0 程序设计人员 测试人员 丁思源 测试目的 前台商城正常显示 测试内容
测试用例的编写流程: 需求分析、提取测试点、编写测试用例、测试用例的评审 END 百度经验:jingyan.baidu.
网上商城购物系统 系统测试用例 网站测试报告 测试计划 软件系统测试报告 测试 结项 XXX XX XX 程序设计
下面,我以一个具体案例为例,带大家介绍一款微信商城小程序所拥有的功能。一款商城类型微信小程序拥有的
一个完整用例包括标题,前提条件,步骤,预期结果。举一个例子:登陆QQ客户端测试功能和UI 标题:测试用
测试用例(Test Case)是为某个特殊目标而编制的一组测试输入、执行条件以及预期结果,以便测试某个程序
测试 人员认真检查) 8、输入不符合格式的数据,检查程序是否正常校验,如程序要求输入年月日格式为yy/mm/
展开全部 测试用例的设计一般从分析需求设计说明书开始,了解开发人员设计这个项目的思路、设计的要求、