
基于最小生成树的实时立体匹配算法简介 - 软件
483x665 - 31KB - PNG
哪种立体匹配算法 - 蓝讯
280x220 - 9KB - PNG

基于最小生成树的实时立体匹配算法简介 - 软件
692x427 - 175KB - PNG
哪种立体匹配算法 - 蓝讯
280x220 - 24KB - PNG

基于NCC的改进立体匹配算法,解决方案
398x528 - 164KB - JPEG

南金投资网:自适应权重立体匹配算法_降价吗
600x848 - 10KB - JPEG

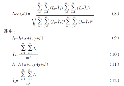
基于NCC的改进立体匹配算法
435x301 - 6KB - PNG

基于图割理论的立体匹配算法研究-计算机科学
800x1257 - 279KB - PNG

双目立体匹配算法的FPGA实现.doc
794x1123 - 45KB - PNG

双目立体匹配算法的研究与进展 progress in bi
800x1168 - 321KB - PNG

基于稀疏表示的立体匹配算法和红外目标的检测
800x1257 - 211KB - PNG

一种光照度不一致鲁棒立体匹配算法 a radiom
800x1131 - 310KB - PNG

双目视觉立体匹配算法在铁路异物自动识别中的
800x1131 - 145KB - PNG

基于点特征的立体匹配算法研讨.pdf
800x1168 - 42KB - PNG

基于双目立体视觉的窗口区域立体匹配算法研究
800x1168 - 278KB - PNG
【B站正式会员考试】自选题:下列哪种立体匹配算法不是全局匹配算法?A.动态规划*B.图割*C.BP*D.SSD
搜题APP:文字搜索太麻烦,试试语音或拍照搜题。1 在发送的弹幕时添加自己的id和署名这种弹幕属于?
下列哪种立体匹配算法不是全局匹配算法?A.图割 B.BP C.动态规划 D.SSD SSD. 下列哪种立体匹配算法不是全局
A.图割 B.BP C.动态规划 D.SSD SSD。1条回答被折叠(为什么?
下列哪种立体匹配算法不是全局匹配算法 opencv里面是没有那种算法的,它只 Shi 提供一些常用的计算函数。
立体匹配 算法 最新动态:http://vision.middlebury.edu/stereo/eval/ 介绍立体匹配的基本原理:
二、主要立体匹配算法分类 1)根据采用图像表示的基元不同,立体匹配算法分为:A、区域立体匹配算法(可
一下几种算法代码参考 }/*寻找最佳匹配点*/matchLevel[0]=1000000;tempMin=0;tempIndex=0;for(m=1;m;m+){/
一种新的立体匹配算法,下列哪种立体匹配算法,哪种立体匹配算法,以下哪种立体匹配算法,立体匹配算法,局部